有时,我们希望从一组三个以上的点集求出平面方程,这种点集最常见的例子就是多边形顶点。在这种情况下,这些顶点绕多边形顺指针或逆时针地列出。(顺序很重要,因为要依据它决定哪边是"正面"哪边是"反面"。)
一种糟糕的方式是任选三个连续的点并用这三个点计算平面方程。毕竟所选的三个点可能共线,或接近共线。因为数值精度的问题,这将非常糟糕。或者,多边形可能是凹的,所选的点恰好在凹处,从而构成了逆时针(将导致法向量方向错误)。又或者,多边形上的顶点可能不是共面的,这可能是由数值上的不精确,或错误的生成多边形的方法所引起的。我们真正想要的是从点集中求出"最佳"平面的方法,该平面综合考虑了所有的点。
这里提供一个通用且效率较高的算法,计算一组有序点集(顺时针或逆时针)的最佳法向量。
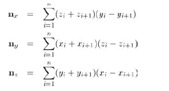
计算公式,其中Pn+1== P1 :

算法实现代码(C++实现):
#include <cstdio>
#include <cmath>
#include <vector>
using std::vector;
struct point
{
double x;
double y;
double z;
point():x(0),y(0),z(0)
{}
point(double i, double j, double k):x(i),y(j),z(k)
{}
void normalize()
{
double len = sqrt(x*x + y*y + z*z);
x /= len;
y /= len;
z /= len;
}
void display()
{
printf("x=%5.2f, y=%5.2f, z=%5.2f\n",x,y,z);
}
};
int main()
{
vector<point> pts;
pts.push_back(point(0,100,0));
pts.push_back(point(10,100,10));
pts.push_back(point(20,100,100));
pts.push_back(point(0,100,100));
if(pts.size()<=3)
{
printf("oops\n exit!\n");
return 0;
}
point pre = *(pts.end()-1);
point ans = point();
vector<point>::iterator itr = pts.begin();
while(itr!=pts.end())
{
point cur = *itr;
ans.x += (pre.z+cur.z)*(pre.y-cur.y);
ans.y += (pre.x+pre.x)*(pre.z-cur.z);
ans.z += (pre.y+cur.y)*(pre.x-cur.x);
pre = cur;
++itr;
}
ans.normalize();
ans.display();
return 0;
}
PS:本算法的通用性较高,甚至可以用于不共面的点集。
当然如果明确知道点集共面,并且能确保点集有序排列(顺时针或逆时针),那么这个算法就很强大了,凸凹多边形都没问题。
另外,三个点的情况很容易解决所以没有在本程序中实现。